Упр.462 ГДЗ Атанасян 10-11 класс по геометрии (Геометрия)

Решение #1

Изображение 462 B параллелепипеде ABCDA1B1C1D1 AA1 = AB = AD = 1, ZDAB = 60°, ZA1AD = ZA1AB = 90°. Вычислите:а)	BADfi1-, б) BC1 Dfi; в) AC1 AC1; г) |DBfi д)...
Дополнительное изображение

Решение #2

Изображение 462 B параллелепипеде ABCDA1B1C1D1 AA1 = AB = AD = 1, ZDAB = 60°, ZA1AD = ZA1AB = 90°. Вычислите:а)	BADfi1-, б) BC1 Dfi; в) AC1 AC1; г) |DBfi д)...

Решение #3

Изображение 462 B параллелепипеде ABCDA1B1C1D1 AA1 = AB = AD = 1, ZDAB = 60°, ZA1AD = ZA1AB = 90°. Вычислите:а)	BADfi1-, б) BC1 Dfi; в) AC1 AC1; г) |DBfi д)...
Дополнительное изображение
Дополнительное изображение
Дополнительное изображение
Загрузка...

Рассмотрим вариант решения задания из учебника Атанасян, Бутузов 11 класс, Просвещение:
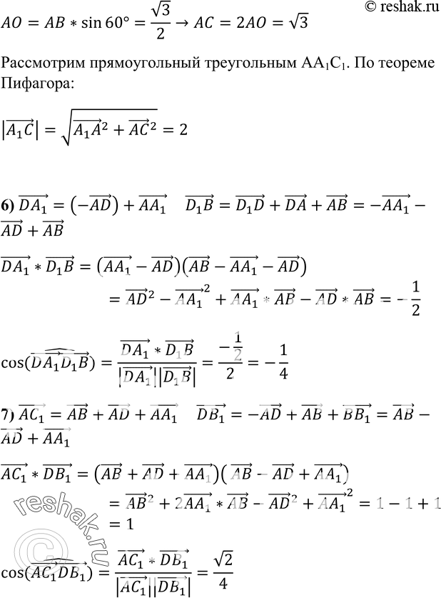
462 B параллелепипеде ABCDA1B1C1D1 AA1 = AB = AD = 1, ZDAB = 60°, ZA1AD = ZA1AB = 90°. Вычислите:

а) BADfi1-, б) BC1 Dfi; в) AC1 AC1; г) |DBfi д) |A^C|;
*Цитирирование задания со ссылкой на учебник производится исключительно в учебных целях для лучшего понимания разбора решения задания.
*размещая тексты в комментариях ниже, вы автоматически соглашаетесь с пользовательским соглашением